Conversation
|
@PikachuEXE Can you run the reports yourself and see if you see similar results? The dirk test make rabl/oj and jbuilder/oj look realy slow 🧐; I know it was faster when I made this gem, but I forget if it was that much faster |
Rakefile
Outdated
There was a problem hiding this comment.
I don't think this makes me able to run the benchmark...
There was a problem hiding this comment.
Whoops yea, I was playing around with sizing of the graphs; need to add an option to analyzer somehow to set the size; will remove
|
Ruby 3.0.2
# Gemfile
gem 'analyzer', git: "https://github.com/malomalo/analyzer.git"Yup the results looks really different from what we have in #4 I will post benchmark result run in 2.7 later |
|
Interesting, I wonder why there is a big difference now? I think the |
|
Added to the test suite over at joshmn/json-benchmark#27 as well; hopefully it gets pulled in. |
|
Maybe trying reverting the version of |
|
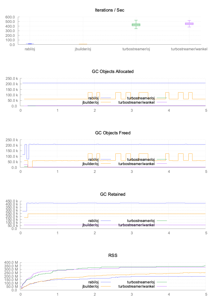
Ruby 2.7.4 Looks similar to previous one |
|
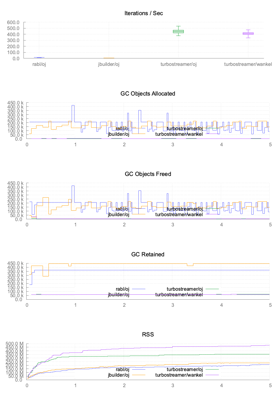
Ruby 2.5.3 Thoughts? |
|
Just tried some debugging to see what was going on. Nothing has helped. The last think I can maybe think of is We could investigate more but all gems are up to date and we are getting similar results.... I'm okay just merging this in. |
I have no idea as I have never checked their source code. Just one thing: Why your graphs have no legend and mine have? |
|
I can have some coworkers run it and see if they get the same results I'll merge. re: graphs I was playing around with smaller output for the README |
87b5ec9 to
08c2ce9
Compare
823411f to
c9169f7
Compare








No description provided.